|
|
| |
 |
產品展示 |
現在位置:諸夏-產品展示 |
|
|
 |
|
| |
| |
| |
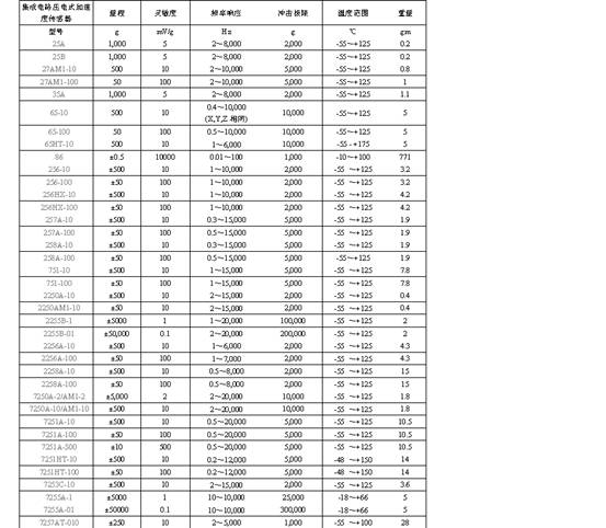
IEPE集成電路壓電式加速度傳感器

集成電路壓電式(IEPE)加速度傳感器
型號 25A 25B 27AM1-10 27AM1-100 35A 65-10 65-100 65HT-10 86 256-10 256-100 256HX-10 256HX-100 257A-10 257A-100 258A-10 258A-100 751-10 751-100 2250A-10 2250AM1-10 2255B-1 2255B-01 2256A-10 2256A-100 2258A-10 2258A-100 7250A-2/AM1-2 7250A-10/AM1-10 7251A-10 7251A-100 7251A-500 7251HT-10 7251HT-100 7253C-10 7255A-1 7255A-01 7257AT-010 7257AT-100 7259B-10 7259B-25 7259B-100 27A11 27A12 61C12 61C13 63C12 63C13 66A50 66A11 66A12 752A12 752A13 7251B11 7251B12 87 |
|
|
| [ 關閉 ] |
|
|
|